用多因子策略构建强大的加密资产投资组合 :数据预处理篇
前言
书接上回,我们发布了《用多因子策略构建强大的加密资产投资组合》系列文章的第一篇 - 理论基础篇,本篇是第二篇 - 数据预处理篇。
在计算因子数据前/后,以及测试单因子的有效性之前,都需要对相关数据进行处理。具体的数据预处理涉及重复值、异常值/缺失值/极端值、标准化和数据频率的处理。
一、重复值
数据相关定义:
-
键(Key):表示一个独一无二的索引。eg. 对于一份有全部token所有日期的数据,键是“token_id/contract_address - 日期”
-
值(Value):被键索引的对象就称之为“值”。
诊断重复值的首先需要理解数据“应当”是什么样子。通常数据的形式有:
-
时间序列数据(Time Series)。键是“时间”。eg.单个token5年的价格数据
-
横截面数据(Cross Section)。键是“个体”。eg.2023.11.01当日crypto市场所有token的价格数据
-
面板数据(Panel)。键是“个体-时间”的组合。eg.从2019.01.01-2023.11.01 四年所有token的价格数据。
原则:确定了数据的索引(键),就能知道数据应该在什么层面没有重复值。
检查方式:
-
pd.DataFrame.duplicated(subset=[key1, key2, ...])-
检查重复值的数量:
pd.DataFrame.duplicated(subset=[key1, key2, ...]).sum() -
抽样看重复的样本:
df[df.duplicated(subset=[...])].sample()找到样本后,再用df.loc选出该索引对应的全部重复样本
-
-
pd.merge(df1, df2, on=[key1, key2, ...], indicator=True, validate='1:1')-
在横向合并的函数中,加入
indicator参数,会生成_merge字段,对其使用dfm['_merge'].value_counts()可以检查合并后不同来源的样本数量 -
加入
validate参数,可以检验合并的数据集中索引是否如预期一般(1 to 1、1 to many或many to many,其中最后一种情况其实等于不需要验证)。如果与预期不符,合并过程会报错并中止执行。
-
二、异常值/缺失值/极端值
产生异常值的常见原因:
-
极端情况。比如token价格0.000001$或市值仅50万美元的token,随便变动一点,就会有数十倍的回报率。
-
数据特性。比如token价格数据从2020年1月1日开始下载,那么自然无法计算出2020年1月1日的回报率数据,因为没有前一日的收盘价。
-
数据错误。数据提供商难免会犯错,比如将12元每token记录成1.2元每token。
针对异常值和缺失值处理原则:
-
删除。对于无法合理更正或修正的异常值,可以考虑删除。
-
替换。通常用于对极端值的处理,比如缩尾(Winsorizing)或取对数(不常用)。
-
填充。对于缺失值也可以考虑以合理的方式填充,常见的方式包括均值(或移动平均)、插值(Interpolation)、填0
df.fillna(0)、向前df.fillna('ffill')/向后填充df.fillna('bfill')等,要考虑填充所依赖的假设是否合。机器学习慎用向后填充,有 Look-ahead bias 的风险
针对极端值的处理方法:
1.百分位法。
通过将顺序从小到大排列,将超过最小和最大比例的数据替换为临界的数据。对于历史数据较丰富的数据,该方法相对粗略,不太适用,强行删除固定比例的数据可能造成一定比例的损失。
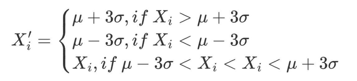
2.3σ / 三倍标准差法
标准差 σfactor 体现因子数据分布的离散程度,即波动性。利用 μ±3×σ 范围识别并替换数据集中的异常值,约有99.73% 的数据落入该范围。该方法适用前提:因子数据必须服从正态分布,即 X∼N(μ,σ2)。
其中,μ=∑ⁿᵢ₌₁⋅Xi/N, σ²=∑ⁿᵢ₌₁=(xi-μ)²/n ,因子值的合理范围是[μ−3×σ,μ+3×σ]。
对数据范围内的所有因子做出如下调整:

该方法不足在于,量化领域常用的数据如股票价格、token价格常呈现尖峰厚尾分布,并不符合正态分布的假设,在该情况下采用3σ方法将有大量数据错误地被识别为异常值。
3.绝对值差中位数法(Median Absolute Deviation, MAD)
该方法基于中位数和绝对偏差,使处理后的数据对极端值或异常值没那么敏感。比基于均值和标准差的方法更稳健。
绝对偏差值的中位数 MAD=median ( ∑ⁿᵢ₌₁(Xi - Xmedian) )
因子值的合理范围是[ Xmedian-n×MAD,Xmedian + n×MAD]。对数据范围内的所有因子做出如下调整:

# 处理因子数据极端值情况 class Extreme(object): def __init__(s, ini_data): s.ini_data = ini_data def three_sigma(s,n=3): mean = s.ini_data.mean() std = s.ini_data.std() low = mean - n*std high = mean + n*std return np.clip(s.ini_data,low,high) def mad(s, n=3): median = s.ini_data.median() mad_median = abs(s.ini_data - median).median() high = median + n * mad_median low = median - n * mad_median return np.clip(s.ini_data, low, high) def quantile(s,l = 0.025, h = 0.975): low = s.ini_data.quantile(l) high = s.ini_data.quantile(h) return np.clip(s.ini_data, low, high)
三、标准化
1.Z-score标准化
-
前提:X N(μ,σ)
-
由于使用了标准差,该方法对于数据中的异常值较为敏感
2.最大最小值差标准化(Min-Max Scaling)
将每个因子数据转化为在(0,1) 区间的数据,以便比较不同规模或范围的数据,但它并不改变数据内部的分布,也不会使总和变为1。
-
由于考虑极大极小值,对异常值敏感
-
统一量纲,利于比较不同维度的数据。
3.排序百分位(Rank Scaling)
将数据特征转换为它们的排名,并将这些排名转换为介于0和1之间的分数,通常是它们在数据集中的百分位数。*
-
由于排名不受异常值影响,该方法对异常值不敏感。
-
不保持数据中各点之间的绝对距离,而是转换为相对排名。
NormRankᵢ=(Rankₓᵢ−min(Rankₓᵢ))/max(Rankₓ)−min(Rankₓ)=Rankₓᵢ/N
其中,min(Rankₓ)=0, N 为区间内数据点的总个数。
# 标准化因子数据 class Scale(object): def __init__(s, ini_data,date): s.ini_data = ini_data s.date = date def zscore(s): mean = s.ini_data.mean() std = s.ini_data.std() return s.ini_data.sub(mean).div(std) def maxmin(s): min = s.ini_data.min() max = s.ini_data.max() return s.ini_data.sub(min).div(max - min) def normRank(s): # 对指定列进行排名,method='min'意味着相同值会有相同的排名,而不是平均排名 ranks = s.ini_data.rank(method='min') return ranks.div(ranks.max())
四、数据频率
有时获得的数据并非我们分析所需要的频率。比如分析的层次为月度,原始数据的频率为日度,此时就需要用到“下采样”,即聚合数据为月度。
下采样
指的是将一个集合里的数据聚合为一行数据,比如日度数据聚合为月度。此时需要考虑每个被聚合的指标的特性,通常的操作有:
-
第一个值/最后一个值
-
均值/中位数
-
标准差
上采样
指的是将一行数据的数据拆分为多行数据,比如年度数据用在月度分析上。这种情况一般就是简单重复即可,有时需要将年度数据按比例归集于各个月份。
- 免责声明
- 世链财经作为开放的信息发布平台,所有资讯仅代表作者个人观点,与世链财经无关。如文章、图片、音频或视频出现侵权、违规及其他不当言论,请提供相关材料,发送到:2785592653@qq.com。
- 风险提示:本站所提供的资讯不代表任何投资暗示。投资有风险,入市须谨慎。
- 世链粉丝群:提供最新热点新闻,空投糖果、红包等福利,微信:juu3644。

Lucida amp Falcon



