解析网络升级提案Dynamic TAO:将给Bittensor带来哪些影响?
原文标题:《Bittensor 经济模型巨变—Dynamic TAO》
原文作者:0xai
(作者注:以下内容根据Dynamic TAO: Bittensor Improvement Template 1中的信息整理得出,鉴于该提案仍在讨论中,存在发生改变的可能)
什么是 Dynamic TAO?
Dynamic TAO(BIT001)是由 Opentensor Foundation 提交的一份网络升级提案,旨在通过改革 Bittensor 网络质押机制和$TAO 区块奖励的分发规则来缓解 Root Validator 权力集中和潜在的共谋问题,并赋予所有$TAO 持有者积极参与 Bittensor 区块奖励分配的权力。
Dynamic TAO 将会改变哪些机制?
1. 改变$TAO 的质押机制:
在现行方案中,Validator 将持有的$TAO 质押在某一 Subnet 并完成验证工作,就能够获得一定数量的新增发$TAO 作为验证者激励,并且先前质押的$TAO 的数量不会减少。换言之,现行方案中,Validator 所质押的「本金」不会有任何损失。存在这样「旱涝保收」的机制,$TAO 的流通质押比例相当之高:目前,$TAO 的总流通量约为 6.25M 枚,共有约 4.75M 枚被质押,质押比例约为 75.94%。Validator 通过质押获得的平均年化收益率约为 19.38%。
然而,这一现状可能被改变。Dynamic TAO 提议,允许各 Subnet 发行自己的「Token」,各「Subnet Token」统称为「Dynamic TAO」($dTAO),使用不同的希腊字母符号进行区分。

各「Subnet Token」并不能直接交易,只能通过唯一的资金池(liquidity pool)兑换(unstake/swap)为$TAO。
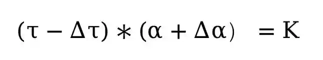
每个 Subnet 都会有一个唯一的资金池(liquidity pool),池中存储者一定数量的$TAO 和相应的$dTAO。兑换时,$TAO 与$dTAO 的定价机制遵循与 Uniswap V2 相同的恒积公式,即:

其中,τ代表$TAO 的数量,α代表$dTAO 的数量。在没有额外流动性注入的前提下,无论使用多少$TAO 兑换$dTAO 或多少$dTAO 兑换$TAO,K 的值将保持不变。即:
当$TAO 持有者进行质押操作,相当于使用$TAO 购买相应的$dTAO,能够换出$dTAO 的数量
遵循如下公式计算:

反之亦然,当$dTAO 持有者进行解除质押操作,相当于使用$dTAO 购买$TAO,能够换出$TAO 的数量
遵循如下公式计算:

但,与 Uniswap V2 不同的是,$dTAO 的 liquidity pool 并不允许直接添加流动性。除 Subnet Owner 创建 Subnet 时以外,所有新注入的流动性完全来自被分配到的$TAO,以及$dTAO 总增发量的 50%。换言之,各 Subnet 被分配到的新增发$TAO 并不直接分配给该 Subnet 的 Validator\Miner\Owner,而是全部被注入到 liquidity pool 中备兑;同时,新增发的$dTAO 的 50% 也被注入到 liquidity pool 中,剩余 50% 则按照 Subnet 自身约定的激励机制分配给 Validator\Miner\Owner。

Stake\Unstake 不会改变 K 的大小,而流动性注入会使得 K 增大为 K』。
2. 改变新增发$TAO 的分配规则:
在现行方案中,每个 Subnet 能够获得多少比例的新增发$TAO 是由 Root Network 的 Validator 决定的。这一方案已暴露出一些潜在问题。例如,由于 Root Network 的权力集中在少数 Validator 手中,即使 Validator 共谋将新增发$TAO 分配给低价值的 Subnet,也不会受到任何惩罚。
Dynamic TAO 提议中止 Root Network 的特权,并将决定新增发$TAO 该如何分配的权力交给所有$TAO 持有者。具体做法是:
采用全新的 Yuma Consensus V2,将各 Subnet Token 的价格进行 softmax 操作后得到对应的释放比例,即:

Softmax 是一个常用的归一化函数,能够将一组向量中的每个元素转换为非负值同时保留各元素间相对大小关系,并确保转换后所有元素之和为 1。
其中,

P 是$dTAO 相对$TAO 的价格,由 liquidity pool 中$TAO 的数量除以$dTAO 的数量计算得出。
根据公式,当一个 Subnet Token 相对$TAO 价格越高时,能够获得新增发$TAO 的释放比例也就越高。
3. 将设定激励机制的权力下放给各 Subnet:
现行方案中,Subnet 所获得的$TAO 激励按照固定比例 41%-41%-18% 分配给 Validator\Miner\Owner。
Dynamic TAO 提议赋予各 Subnet 发行自身「Subnet Token」的权力,并规定,除增发量的 50% 必须被注入到 liquidity pool 外,剩余 50% 具体按照何种机制分配给 Validator\Miner\Owner,则有 Subnet 参与者自行决定。
举例:
按现有提案内容,当 Dynamic TAO 被正式提交网络升级后,所有现存的 Subnet 会铸造出相应的$dTAO,$dTAO 的创世数量等于该 Subnet Owner 曾经在创建 Subnet 时锁定的$TAO 的数量。其中,50% 的$dTAO 被注入到该 Subnet 的 liquidity pool 中,剩余 50% 则被分配给该 Subnet Owner。
假设 Subnet #1 的 Owner 曾锁定了 1000 颗$TAO,那么,$dTAO 的创世数量也为 1000 颗。其中,500 颗$dTAO 与 1000 颗$TAO 作为初始流动性被添加到 liquidity pool 中,剩余 500 颗$dTAO 则分配给 Owner。
接下来,当有 Validator 来到 Subnet #1 注册并质押了 1000 颗$TAO,那么该 Validator 将会获得 250 颗$dTAO,此时 liquidity pool 中剩余 2000 颗$TAO 和 250 颗$dTAO。
假设 Subnet #1 每天能够获得 720 颗$TAO 的区块奖励,那么,liquidity pool 每天会自动被注入 720 颗$TAO。至于每天注入$dTAO 的数量,则取决于该 Subnet 自行设置的增发速度。
Dynamic TAO 会带来哪些新特性?
新增发的$TAO 如何分配不再由少数 Validator 决定,而是由所有$TAO 持有者间接、共同决定。
质押$TAO 不再是旱涝保收。如果选择质押到不具有前景的 Subnet 并且比其他质押者跑得慢,本金很可能受到不小的损失。
与其说是 Stake(质押),不如视为 Swap(兑换)。将$TAO 质押在某一 Subnet 上,实际等同于买入该 Subnet 的 Token。
在短期,质押与解除质押对$dTAO 价格的影响将远远大于该 Subnet 实际获得$TAO 数量带来的影响。
有什么好的后果,有什么坏的后果?
好处:
头部 Validator 完全控制整个 Bittensor 区块奖励分配的情况将消失。潜在攻击者通过控制质押量来攻击 Bittensor 的成本将大大提高。
后发 Subnet 脱颖而出的机会将大大提高。从将 Stake 视为 Swap 的角度理解,成为一个高质量 Subnet 的早期 Validator 的回报将是巨大的。现行方案中,Validator 支持早期 Subnet 并不能使得其质押的年化收益提升多少;而在 Dynamic TAO 中,Validator 支持早期 Subnet 将有望获得质押本金十倍乃至数十倍的收益。
Subnet 间的竞争会更加激烈,Bittensor 生态将更加繁荣。考虑到 Subnet 在决定增发的$dTAO 该如何分配上有一定自主权,有望看到 Subnet Owner 和 Validator 使出浑身解数来吸引更高的质押量。
质押者(Delegator)参与 Subnet 建设、治理的热情将极大提升。质押者不再能够期望获得一个平均的年化收益,相反,每次质押都将变成一次投资决策。理性的质押者将投入更多精力在尽调工作中,直至寻找到最高质量、最具有前途的 Subnet。
坏处:
短期可能出现更多投机行为,不能够排除「劣币驱逐良币」的现象。Subnet 不一定需要真的拥有某些业绩指标,也可能在短期内获得较大的质押量,从而快速推高相应$dTAO 的价格,让早期买入(质押)者获得退出流动性。会炒作叙事、操盘价格的 Subnet 可能挤压真正高质量、但炒作能力相对弱的 Subnet。
「旱涝保收」的质押机制不复存在,网络的总质押比例可能会减少。并不是所有质押者都愿意「买入」Subnet Token,他们可能只是想单纯地 Hold $TAO。Dynamic TAO 会使得质押$TAO 的盈亏变得不确定,很可能有一定比例的质押者退出质押。
- 免责声明
- 世链财经作为开放的信息发布平台,所有资讯仅代表作者个人观点,与世链财经无关。如文章、图片、音频或视频出现侵权、违规及其他不当言论,请提供相关材料,发送到:2785592653@qq.com。
- 风险提示:本站所提供的资讯不代表任何投资暗示。投资有风险,入市须谨慎。
- 世链粉丝群:提供最新热点新闻,空投糖果、红包等福利,微信:juu3644。

路安



