传播定价模型: 猜疑链与真实世界注意力(RWA)
原文标题:《【开源镰刀 Open Rug 25 - 传播定价模型: 猜疑链与真实世界注意力 (RWA)】》
原文作者:加密韋馱,加密 KOL
请想象你和你的同伙站在一颗核弹的爆炸范围内。爆炸瞬间,有人灰飞烟灭,有人肢体横飞,有人烧成人型焦炭,有人重度烧伤,有人则是双目失明、皮肤灼伤。
听起来很吓人?
那么试着把核弹换成一个新币的发射和传播路径:
有人在内盘塞入,瞬间万倍;有人 10x;有人翻倍出本;有人挂在山顶,成为下一个故事里的受害者。
你见过多少人在骂 $Libra 和 $TRUMP 的同时,却催着 Kanye 发币?为什么他们明知可能被割,还一定要去追?
不是他们蠢,也不是他们单纯热爱亏钱,而是传播规律使然。这套规律不仅适用于 Crypto,也适用于真实世界中一切信息套利的游戏。让我们潜入进去。
正向猜疑链 - 如何制造一场 FOMO
我不确定我的读者中有多少是小学还是博士以上学历,但我姑且假设大家都读过《三体》。在《三体》的世界观中,有一个重要的基本定理——猜疑链:
「我不知道你是否怀有善意;我也不知道你是否认为自己是善意;更无法假设你是否认为我是善意的。」
在这种「黑暗森林」情境下,文明之间既无法交流来确认对方意图,也不能选择沉默放任对方坐大。因此,唯一的最优解是先发制人,直接摧毁对方。

这是一种终极 PVP 的囚徒困境,所有行为都会不可避免地走向「确保摧毁」的结局。
刘慈欣构建的场景是宇宙文明间的对抗,而在 Crypto 交易市场中,我们可以逆向工程出一个类似的「黑暗森林零和死局」:FOMO(Fear of Missing Out,即「害怕错过」)
FOMO 交易的「正向猜疑链」
在市场 FOMO 状态下,市场形成一种不可避免的买入合力,我们可以拆解出三条类似「猜疑链」的逻辑:
1. 杜绝交流的可能性
市场趋势变化极快,在必须做出决策前,个体间几乎没有足够的时间进行充分交流和理性分析。换句话说,市场不允许「文明之间」坐下来好好谈谈。
2. 制造一个尽可能多人共识的「零和预期」
这里的「角度」指的是事件的投资逻辑。例如,先买入者的盈利必然以后买入者的机会成本为代价。所有市场理性参与者都清楚这点。当所有人都知道「后买的人一定亏」时,市场会形成「必须先买」的共识。
3. 制造无法承受的机会成本
FOMO 之所以有效,是因为踏空的代价过大。眼看着其他人因为这一事件暴富,而自己因犹豫错过,将导致极大的心理折磨,甚至形成毁灭性的身心伤害。最终,市场中的大多数人都会被迫选择买入,甚至孤注一掷。
这三个因素共同作用,形成了 FOMO 状态下的「正向猜疑链」。它的「正向性」在于:它促使市场参与者做出「买入」这个符合设计目的的行为,并且是不可避免的
案例:$TRUMP 发射当天的市场情绪
以 $TRUMP 代币发行当天为例,这种「正向猜疑链」是如何驱动市场的:

当 Trump 发币的消息一出来,市场立即拉盘,市值暴涨。尽管有人怀疑消息的真实性,但市场的反应快到根本来不及验证。
经过简单验证确认并非盗号后,市场得出结论:「外部资金一定会买」,这是一个不可逆的交易逻辑(角度)。
地球球长亲自发币,这种级别的事件极度稀缺,错过就是历史性损失。市场共识是:「踏空的话,不仅会亏钱,甚至会被群友嘲笑一辈子。」
因此,市场上的绝大多数人别无选择,只能买入,甚至梭哈。

FOMO 交易强度的决定因素
那么,一个事件的 FOMO 效应有多强,主要取决于以下三个因素:
· 趋势形成的速度
越快的市场反应,个体的交流和分析时间越少,交易行为越接近本能反应。
·对 FOMO 交易逻辑(角度)的共识范围
这个「角度」是否能被市场大多数人认同?共识范围越大,FOMO 效应就越强。
· 事件本身的稀缺性与不可复制性
事件越独特、越难以复现,市场对其「错过即终身遗憾」的认知就越强,从而推动更强的 FOMO 购买行为。
·人群的资金实力
这才是大部分人没考虑到的变量——如果 FOMO 的主要传播群体没有足够的资金,价格很快就会崩溃。

传播定价模型- 让 FOMO 变得可计量
伟大无法被计划,但 FOMO 可以。
在 Crypto 市场中,FOMO 是一种可被工程化、塑造、甚至量化的市场情绪。虽然「伟大」无法被计划,但 FOMO 的制造却有迹可循。

如果想要制造一场 FOMO,前文提到的三大要素中,最容易控制的是第一点(趋势速度)。因为前期的拉盘和市场造势的力度,是项目方可控的。而 第二点(叙事角度的市场共识),则涉及如何找到市场公认的「高定价」角度,并利用市场的认知滞后性(即信息外溢导致定价降低)。
至于 第三点(事件的稀缺性和不可复制性),这是最难以人为操控的。任何能被计划的东西,本质上就不再稀缺,也就容易被复制。但市场中仍然存在机会——如果能够利用市场参与者对于稀缺性的认知差异,就可以通过「定价差」制造 FOMO。
案例:Crypto AI 叙事的 FOMO 演进(2024 年 11 月 - 2025 年 2 月)
一个典型的例子就是 Crypto AI 叙事的快速崛起与消亡。这个周期大致经历了以下阶段:
制造信息断层,让交易者无法交流:VC 机构与幕后团体利用 Meme 币 作为载体,迅速推高市场热度,形成速通盘,让交易者只能被动跟随,而没有足够时间进行理性交流和讨论。如果采用的不是 memecoin 这种快速入金、快速反馈的形式而采用矿机分红盘入金等形式,这个叙事就不可能 fomo 起来
利用认知层级差异,建立「零和角度」叙事的目标受众从 AI 领域的专业人士,扩展到 泛认知 AI 是未来的 Crypto 投资者,进一步覆盖 并不真正理解 AI,但知道它是趋势的普通交易者。
由于 AI 话题在 Crypto 圈外部的认知门槛较高,市场中的许多人只能基于「行业大佬都在推 AI 赛道」这一直觉进行 FOMO 投资。

高复制性导致叙事降温 AI 作为技术具有极高的可复制性,并不具备长期的稀缺性。
这也解释了为什么 AI 叙事仅维持了约 3 个月,并随后随着 Deepseek 等传统 AI 项目出圈,搬平了市场的认知差,大量相似的 AI 交易 Agent 出现,叙事 FOMO 消亡
传播定价数学模型
据此,我们可以抽象出一个叙事的传播定价数学模型,核心是叙事的传播定价 P(d) 随传播距离 d 变化的规律,来模拟一个叙事/事件/项目在从发起者向外传播的过程中,从无人问津到人声鼎沸,从趋之鹜到无人买帐由于我是专科毕业,感谢 ChatGPT,如果你也跟我一样文盲,请直接跳到太长不看总结部分:

其中:
P0:事件传播原点的初始定价(通常最高)
e−βd:信任衰减因子,控制 FOMO 强度(市场信任度下降的速度)
Sγ:事件的稀缺性(越稀缺,定价下降越慢)
e−Rd:事件的可复制性(越容易复制,定价下降越快)
A(d):事件对不同群体的吸引程度
V(d):人群价值,衡量不同受众在定价过程中可用的资金实力
核心变量解释
1. 信任衰减因子 e−βd
传播距离 d 越远,市场对事件的信任度下降,FOMO 变弱
受认知成本 C(d) 影响:认知成本越高,市场越难理解事件,导致信任下降更快(β 变大)
认知成本较低,事件更容易传播,FOMO 持续更久(β变小)
2. 稀缺性因子 Sγ
事件越稀缺,市场愿意维持较高的定价,FOMO 下降速度更慢
如果事件高度稀缺(如 $TRUMP 发币),叙事定价能在一定时间内维持高位
如果事件不稀缺(如 AI 叙事),市场很快会因供应增加而降温
3. 可复制性因子 e−Rd
事件如果容易被复制,市场对其热度会快速下降
高可复制性事件(如 AI 代币):FOMO 只有一出溜
低可复制性事件(如马斯克发币):叙事定价下降更慢
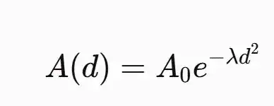
4. 受众吸引度 A(d)
不同群体对事件的吸引力不同,决定了 FOMO 的传播范围
影响因素:事件与受众的匹配度(λ)
受众的文化背景、市场经验、交易习惯,λ越大匹配度越低,吸引力越差
可以用高斯分布建模:

事件如果无法吸引更广泛的受众,FOMO 传播会很快终结
5. 人群价值 A(d)
V(d) 代表传播到距离 d 处的人群在市场中的交易资金实力。
不同人群的资金实力决定了 FOMO 交易的推动力:早期进入的通常是 高资金 交易者(机构、鲸鱼),对价格的影响力更大 传播到外围后,主要是 散户资金,影响力减弱
假设表达为幂律分布:

其中:
V0 是事件传播原点的初始资金实力(如 VC、鲸鱼)
δ是资金分布衰减因子,控制市场资金的流动方向:
- δ 小(资金流动平稳):外围人群资金实力仍然较强
-δ 大(资金迅速衰减):外围人群主要是小散,FOMO 难以持续
人群价值的影响:
如果 V(d) 下降过快,即外围人群都是小资金,那么即使 FOMO 传播了,交易影响力也不强,导致价格支撑力不足。
如果 V(d) 下降缓慢,即外围仍有强资金支撑,FOMO 交易会维持更久。
传播定价模型太长不看总结
虽然这个公式未必精确,但它揭示了一个永恒的市场规律:
任何一个事件,传播距离越远,受众理解成本越高;传播距离越远,受众愿意接受的价格越低。
稀缺、不可复制、针对特定受众的事件,叙事定价下降得较慢,而容易复制、信息复杂的事件,在传播过程中迅速贬值。
对于镰刀而言,红色阴影部分就是最佳「收割区」。
认知成本曲线与叙事定价线交叉,即代表叙事死亡

真实世界注意力 - 最大化传播定价的公约数
我们每时每刻都在为信息买单:
超市大减价、黑五打折
FOMO 上车土狗、炒房
政治运动、乃至战争
有的代价是钱,有的代价是命。
这不是「Degen vs. Normie」或「庞氏 vs. 清真」的问题,而是 人类注意力经济的底层逻辑。

那么,如何构建一个高叙事定价的传播模型?最大公约数是什么?
这就引出了我自创的概念——真实世界注意力 (Real World Attention, RWA)。
RWA 定义:
最值钱的叙事,必定是在币圈核心高频用户之外,同时能够吸引符合全球平均智商的、具备「病毒式传播」潜质的注意力事件。
它既能确保最广泛的受众,也能覆盖拥有高交易价值的人群。
不信,你可以不看答案,试着回答以下问题
1. 为什么「总统币」「名人币」始终有市场,不论市场好坏?
这些事件面对的是全球范围的可预期认知群体,而明牌角度的踏空不可接受,从而形成正向猜疑链。
总统发币:尤其是大国总统,覆盖的认知人群最广,所以不管多割,一定会有人冲
2. 为什么很多非美的艺人发币很惨淡
受众问题:北美艺人的受众常活跃于币圈平台(如 Twitter),其信息能直接或间接传导到币圈;而非美艺人的受众价值较低。
传播原点出来的人群因认知成本高,定价自然偏低
3. 为什么同样有名人参与,事件型 Token 比名人币表现更好?(例如 $MAGA、$PNUT、$Jailstool、$Vine 等)

原因有三:
· 戏剧张力:事件本身更具吸引力,能够跨越币圈吸引所有吃瓜群众,提升事件与不同人群的匹配度。
· 传播受众 vs. 粉丝群体:传播受众是一个动态过程,是那些被事件激活、做出反应的群体;而名人粉丝是一个静态、固定的值。
名人发币只能在固定人群中激活一小部分,而一个事件则能激活更广泛的群体,扩大传播距离。
· 稀缺性:事件自带稀缺属性。例如,刘晓庆与毛阿敏虽然同质化,但毛阿敏偷税,而刘晓庆却在 60 多岁时找了个小 30 岁的男友——这类事件既稀有又吸睛。
4. 为什么很多复杂的 AI、DeFi 叙事和复杂的资金盘模式很难做出圈?
认知成本过高(β 太大)。
在二级市场中,共同认知范围太小,定价低,很难形成正向猜疑链,甚至连有效传播都难以启动,怎会有 FOMO?
5. 为什么在 meme 币中,大盘子 Dev 发新币和大车头上车时会引发 FOMO?
对于 memecoin 受众来说,这是天然的 正向猜疑链零和场景。
不上车就永远上不了车。
数据与监控工具实时传递信息,对 memecoin 受众而言无需额外认知成本。
唯一问题是,传播到外圈后,外圈受众可能判断自己处于外围,从而选择不入场。
6. 为什么纯清真和技术叙事 VC 币二级会如此惨淡?
同 4.
从某种意义上,Real World Attention 这个 RWA 要比 Real World Asset 还要有价值,因为形成基于注意力的共识要比形成对资产的共识容易得多。
一个美国人够呛能认可泰国沙缴府乡下一处平房的资产价值;但是如果是当地青少年的 tiktok 视频成了 meme,美国人可能一样能共鸣
对市场与盘总们的启示
臆想靠一个叙事、盘型、制度就能爆发的时代已经过去。无法被传播和市场定价认可的企划,根本等不到「爆火」「出圈」的可能性。
若无法被传播和市场定价认可,任何企划根本等不到「爆火」或「出圈」的机会。

即使身经百战的地推网推团队,如果「没有角度」,推广也难成功。
反之,一个普通项目,若能触发真实世界注意力,莫名其妙就可能爆火。
起盘,你需要这样规划传播:
· 划界限:若项目主制度难以满足传播模型,需划出一部分专门做传播,确保不影响主制度。
· 定制度:采用 meme 或 NFT 这种能快速上涨、不给交流时间的资产作为载体;或者采用增量定价互助盘(如 VDS、泰山众筹、Fomo3D)。
· 选角度:按照 RWA 逻辑,选择信息复杂度低、覆盖受众广的叙事。
· 做事件:制造具有戏剧张力的事件,以此为载体进行传播,把入金设计成一个真实世界注意力事件(比如「八旬老太意外中奖千万」或「TST dev 地址加池子参与联手坐庄,盘古社区制霸 BSC」)。
我们以 @ethsign 举例:
EthSign 本身的叙事是非常难以传销的类型: to B/to G 应用:
- Token Table 代币分发平台
- Docusign 的币圈平替版本
- 数字身份
站在散户尤其是年轻散户角度,整个项目写满了两个字: 无聊
@realyanxin 很聪明的一点是,从设计上直接切分出一个「橙色王朝」(听着像东北洗浴) 的 to C 端主题。
为了搞传播形成正向猜疑链,Sign 选择了爆拉一个 NFT 和空投前活动作为载体。空投也选择了不可 farm 的绝对黑箱机制,尽可能降低交流可能。
通过 1600 万融资公告+Binance Labs 投资+大量用橙色眼镜上车 KOL 并添加元素病毒式传播+搞社区邪教活动,把整个项目 to C 传递的信息坍缩成一个 meme,最大化币圈可见的受众匹配度,降低认知成本。
而覆盖的币圈大 KOL 为主的人群本身也是相对较高交易价值的人群
这已经是这种类型非 to C 项目可以选择的最优解了。即使做了这么多设计,Sign 仍然需要花大量的人力去高强度做社区活动和教育,去人工提升人群匹配度,降低外围人群认知成本,尽可能的最大化传播距离。好在 Sign 团队有一帮事件营销人才,执行时真的可以获取到注意力。
而如果你是一个传统 CX 项目
你的事件传播核心都是社区长。币圈项目覆盖 KOL 可能需要一个优秀的 agency 两天约电话完成
而 CX 社区长则不管关系多熟,基本都需要线下见面讲课完了招待吃饭才能开始传播和爆单入金,即使是最内圈认知成本都很大 (β很大)。而到社区长再朝自己的体系下线传播时,这个过程还要走一遍。
在年轻人早已不再高看」体系、组织「当下,这种方式向外圈传播的成本会更高。这就意味着要投入更多的教育资源,意味着项目从原点开始传播的成本又上一个台阶,形成了一个传播恶性循环
所以你需要做的是:
降低模式以及叙事的复杂度,控制在 3 句话能解释的范围内: 是什么? 怎么玩?怎么风控
设计一个无需解释的零和场景以建立 FOMO。这个场景主要用于做传播,可以是独立的完整产品,也可以是更大的盘子设计的入金口
把入金设计成一个真实世界注意力事件。比如「八旬老太被孙子拉着玩盘子,意外中奖千万,孙子眼馋与奶奶对簿公堂」「TST dev 地址也来加池子共同坐庄,盘古社区制霸 BSC」
如果你是纯 meme dev 或者 meme 基建
这这里的 meme 指的是任何链上无许可发射、筹码分发无机制偏袒、无价格发现人为干预的低流动性资产类型。
而 Dev 或基建则指与此类别资产发射相关的发起方。
根据传播定价模型和正向猜疑链,真正有用的只有三种资源:
1、链上主动做市商:懂得掌控节奏,高控筹做速通盘。
2、网络推手:像 Enron 币的 Connor Gaydos、把盖特威克机场改成卢顿机场的 Abbey Desmond,或中国的「郭美美」、「凤姐」事件策划人立二拆四——这些人能真正搅动真实世界注意力。
3、精准交易类 KOL 及大覆盖公共传媒/KOL:他们能够激活广泛的市场共识。

其他币圈传统的「基本面叙事」基本不重要——传播并不靠他们完成,只是作为一个故事卖给交易平台、做市商和行业大 V
写在最后
我已经意识到,任何我发出去的模型,都会成为显学,导致圈内竞争门槛的提高。但是我真的受够了大群自己拍脑袋想出个叙事来找我给他出主意 (夸夸) 的项目方。本文的另一个目的也是希望各位项目方能熟读理解,在约我电话之前。
如果你不是项目方而是正在努力做个人 IP 的 KOL wannabe,坚持下去,并且不断的去搞事,搅动注意力。这其实也是我当时认可 @EnHeng456 和 @Elizabethofyou 最主要的点:他们真的很会搞事情吸引注意力。这是非常稀有的能力。多实践,你也可以做出自己的「Enron」。
王侯将相,宁有种乎!
原文链接
:
- 免责声明
- 世链财经作为开放的信息发布平台,所有资讯仅代表作者个人观点,与世链财经无关。如文章、图片、音频或视频出现侵权、违规及其他不当言论,请提供相关材料,发送到:2785592653@qq.com。
- 风险提示:本站所提供的资讯不代表任何投资暗示。投资有风险,入市须谨慎。
- 世链粉丝群:提供最新热点新闻,空投糖果、红包等福利,微信:juu3644。

区块探秘者



