HTX Research丨Bittensor的演进:dTAO用市场激励机制重塑开源AI生态

写者:Chloe Zheng
根据红杉资本 2023 年的研究,85% 的开发者更倾向于对现有模型进行微调,而非从零开始训练。近期趋势进一步验证了这一点:DeepSeek 开源其模型,并引入模型蒸馏技术,通过教师模型(大型模型)将推理逻辑传递给学生模型(小型模型),以优化知识压缩和性能保留。类似地,OpenAI 的 ChatGPT O3 版本也强调了后期训练和强化学习。Bittensor 提供了一个开放的、去中心化的平台,支持 AI 模型的协作与共享。2024 年 7 月,Bittensor 与 Cerebras 发布了 BTLM-3b-8k 开源大型语言模型(LLM),在 Hugging Face 上获得了超过 16,000 次下载,充分体现了 Bittensor 的技术能力。
尽管 Bittensor 于 2021 年上线,但在 2024 年 Q4 的 AI Agent 热潮中几乎未曾亮相,代币价格也一直停滞不前。2025 年 2 月 13 日,Bittensor 推出了 dTAO 升级,旨在优化代币发行、提高公平性并增加流动性。这一变化类似于 Virtuals Protocol 推出 AI Agent LaunchPad,其影响导致$VIRTUAL 的市值在 2024 年飙升了 50 倍。
报告《dTAO 与 Bittensor 的演进:通过市场驱动的激励重塑开源 AI 生态》深入分析了 2 月 13 日完成的 dTAO 升级对 Bittensor 生态系统的影响,重点探讨了其架构创新、经济模型和整体生态动态。

Bittensor 系统中的账户数量增加了 100%,从 2024 年初的 100,000 个增长到接近 200,000 个。
1.Bittensor 的基本架构
Bittensor 系统由以下三个主要模块组成:
1.Subtensor 平行链及其 EVM 兼容层(tao evm): Subtensor 是基于 Polkadot 的 Substrate SDK 开发的 Layer1 区块链,负责管理 Bittensor 网络的区块链层。其 EVM 兼容层(tao evm)允许开发者在网络上部署和运行以太坊智能合约,增强了系统的可扩展性和兼容性。Subtensor 区块链每隔 12 秒出块一次,每个区块产生一枚 TAO 代币。此外,Subtensor 记录子网中的关键活动,包括验证者的评分权重和质押代币数量。每隔 360 个区块(约 72 分钟),通过 Yuma 共识算法计算 64 个子网获得的代币(Emissions)。
2.子网(Subnets): Bittensor 网络包含 64 个子网,每个子网专注于特定类型的 AI 模型或应用场景。这种模块化结构提升了网络的效率和性能,促进了不同 AI 模型的专业化发展。每个子网的激励机制由子网所有者制定,决定代币在矿工和验证者之间的分配方式。例如,子网 1 由 Opentensor Foundation 运营,任务为文本提示(Text Prompting)。在该子网中,验证者提供类似 ChatGPT 的提示,矿工根据提示进行回答,验证者根据矿工回答的质量进行排序,定期更新权重并上传到 Subtensor 区块链。区块链每隔 360 个区块进行一次 Yuma 共识计算,并分配子网的代币释放。
3.根子网(Root Subnet): 作为网络的核心,根子网负责协调和管理所有子网的运作,确保网络的整体协调性和稳定性。
此外,Bittensor API 在子网验证者与 Subtensor 区块链上的 Yuma 共识之间起到传输和连接的作用。同一子网中的验证者只会连接到同一子网中的矿工,不同子网的验证者和矿工之间不会互相沟通和连接。
这种架构设计使 Bittensor 能够有效地整合区块链技术与人工智能,创建一个去中心化且高效的 AI 生态系统。

Subtensor EVM 兼容层 tao evm 于 2024 年 12 月 30 日正式上线,无需修改 任何以太坊智能合约,即可在 Subtensor 区块链上 部署和交互,同时所有 EVM 操作 仅在 Subtensor 区块链上执行,不会与 Ethereum 进行交互。这意味着 Bittensor 上的智能合约仅限于 Bittensor 网络,与 Ethereum 主网无关。目前 tao evm 还处于一个相当早期的阶段,其中包括生态项目 TaoFi,它计划开发基于人工智能的 DeFi 基础设施,包括首个由 TAO 支持的稳定币、去中心化交易所以及 TAO 代币的流动性质押版本。

1.1 账户系统
1.1.1Coldkey-Hotkey 双钥系统
dTAO 的账户系统采用了 Coldkey-Hotkey 双密钥机制,以确保更高的安全性和灵活性。用户在创建钱包时,可选择通过 Chrome 扩展程序或本地方式生成钱包。通过 Chrome 扩展程序创建的钱包用于存储、发送和接收 TAO,系统会生成一个 coldkey(48 位字符,通常以 5 开头)和一个 12 字的助记词。本地创建的钱包除了生成 coldkey 外,还会生成 hotkey,hotkey 用于参与子网的创建、挖矿和验证等操作。
采用 Coldkey-Hotkey 双密钥系统的主要原因在于,hotkey 在子网的日常运营中使用频繁,面临潜在的安全威胁;而 coldkey 主要用于存储和转移 TAO,因此能有效减少 TAO 丢失的风险。这种双重保护机制确保了账户操作的安全性和灵活性。
在绑定关系上,一个 hotkey 可以绑定同一子网的一个 coldkey,但也可以绑定不同子网的 coldkey(不推荐)。一个 coldkey 可以绑定多个 hotkey。
1.1.2 子网 UID 系统
1.1.2.1 子网 UID 生成
在支付至少 100 TAO 的注册费用后,系统会生成一个子网 UID,并将其绑定到您的 hotkey 上。该 UID 是参与子网挖矿或验证的必备凭证。要成为矿工,您只需具备 hotkey、coldkey 和子网 UID,然后运行 Bittensor 即可参与挖矿。
1.1.2.2 成为验证者的要求
要成为子网验证者,必须质押至少 1000 TAO,并且在每个子网中,质押量需排名前 64。需要注意的是,验证者可以同时持有多个 UID 插槽,从而在多个子网中进行验证,而无需额外增加质押数量(类似于 restaking 的概念)。这种机制不仅降低了验证者作恶的风险,也提高了作恶成本,因为质押高额 TAO(至少 1000 TAO)使得作恶代价大幅上升。为提升自身在子网中的竞争力,每个验证者都会努力建立良好的声誉和业绩记录,以吸引更多 TAO 委托质押,从而确保稳居前 64 的位置。
1.1.2.3 子网结构及容量限制
子网 1: 共有 1024 个 UID 插槽,最多可容纳 128 个验证者;验证者和矿工的总数上限为 1024。
其他子网: 每个子网拥有 256 个 UID 插槽,最多可容纳 64 个验证者;每个子网中验证者和矿工的总数不超过 256。
1.1.2.4 子网竞争与激励机制
在子网内部,验证者会向矿工分配任务,所有矿工完成任务后,将结果提交给对应的验证者。验证者会对各个矿工提交的任务质量进行评估和排名,矿工根据工作质量获得 TAO 奖励。同时,验证者也会因为确保高质量矿工获得更好奖励而获得激励奖励,从而推动整个子网质量的持续提升。这一系列竞争过程均由子网创建者设计的代码激励机制自动执行,确保系统公平高效运作。
每个子网设有 7 天的保护期(免疫期),从矿工注册子网 UID 开始计时。在此期间,矿工将累计其奖励。如果在保护期内出现新矿工注册,而当前子网的 UID 插槽已满,则累计奖励最少的矿工将被淘汰,其 UID 会重新分配给新注册的矿工。

1.2 子网构建了一个多层次生态系统
Bittensor 子网构建了一个多层次的生态系统,其中矿工、验证者、子网创建者和消费者各司其职,共同推动高质量 AI 服务的生成。
矿工(Miners): 作为网络的核心计算节点,矿工托管 AI 模型,提供推理和训练服务。他们通过最小化损失函数并在点对点评分中竞争,以获得 TAO 奖励。矿工的成功取决于其提供服务的质量和性能。
验证者(Validators): 验证者负责评估矿工提交的任务结果,构建信任矩阵,防止串通作弊,确保优质矿工获得更高回报。他们根据矿工的响应质量进行排名,排名越准确和一致,验证者获得的奖励就越多。
子网创建者(Subnet Creators): 子网创建者根据特定应用领域(如自然语言处理、计算机视觉等)的需求,设计定制化子网,构建独立的共识机制、任务流程和激励结构。他们承担网络管理员的角色,有权通过各自的子网分配激励。
消费者(Consumers): 消费者通过支付 TAO 代币调用 AI 服务,实现查询 API、获取训练数据或利用计算资源进行模型训练的目的。他们是 Bittensor 提供的 AI 模型的最终用户。
整体流程为:子网验证者生成问题并分发给所有矿工,矿工根据任务生成答案并返回给验证者。验证者依据答案质量进行评分并更新矿工权重,随后定期将权重上传至链上。通过激烈竞争和优胜劣汰机制,持续推动子网内 AI 模型的技术进步和生态优化。
1.2.1 矿工层
矿工在 Bittensor 网络中扮演着核心计算节点的角色,其主要职责包括:
托管 AI 模型,提供推理或训练服务: 矿工通过托管本地机器学习模型,为客户端应用程序提供预测服务。当客户端需要预测时,会向 Bittensor 网络发送请求,网络将其路由至已注册为服务提供者的矿工。矿工处理请求并将预测结果返回给客户端。
通过在 P2P 排名中竞争,赚取 TAO 代币作为计算激励: 矿工根据其模型性能和对网络的贡献度,在点对点排名中竞争,以获得 TAO 代币奖励。这种激励机制鼓励矿工持续优化其模型性能,为网络提供高质量的 AI 服务。
确保高质量的 AI 模型贡献: 矿工致力于提供高质量的 AI 模型,以满足网络需求并确保服务质量。这不仅有助于他们在网络中获得更高的排名和奖励,也提升了整个 Bittensor 网络的整体性能和可靠性。
通过履行这些职责,矿工为 Bittensor 网络的高效运作和发展做出了重要贡献。



1.2.2 消费者层
在 Bittensor 网络中,消费者是指最终用户或企业,他们通过支付 TAO 代币来访问由矿工提供的人工智能(AI)服务。这种模式使消费者无需拥有或维护自己的 AI 模型,即可利用网络内的 AI 能力,降低了 AI 计算成本。
消费者的具体应用场景包括:
· 开发者查询 AI API: 开发者可以调用 Bittensor 提供的 AI 接口,获取所需的智能服务,用于应用程序开发或功能集成。
· 研究机构访问 AI 训练数据集: 研究机构能够利用网络内的资源,访问和分析大型 AI 训练数据集,支持科研项目和实验。
· 企业利用 Bittensor 的计算资源进行 AI 模型训练: 企业可借助 Bittensor 的去中心化计算资源,进行自有 AI 模型的训练和优化,提升业务智能化水平。
通过这种方式,Bittensor 为消费者提供了灵活、高效的 AI 服务获取途径,促进了人工智能的普及和应用。
1.2.3 基于质押的共识机制
Bittensor 的基于质押的共识机制主要解决以下问题:



1.2.3.1 平滑处理与密度演化
为了避免突兀的修正导致系统不稳定,修正函数采用了「平滑处理」。我们定义 按权益加权的平均绝对偏差 为:


这个过程类似于对大型数据集进行 统计平滑。经过多轮「平滑」处理后,每位参与者的 真实排名 得以显现。关键在于,密度演化能更大程度地 压缩异常权重(即恶意玩家的过高权重),而对诚实玩家的影响较小。
1.2.3.2 权重信任机制与零权重漏洞防范


dtao 升级 针对上述问题进行了改进,具体包括:
· 优化迭代和平滑处理:增加迭代次数 η,精细调整平滑参数 α 或 δ,从而减少零权重漏洞,并防止过度修正。
· 增强权重信任机制:更精准地检测 非零权重,并应用更严格的阈值,使 只有大多数人认可的节点 才能获得完整奖励。
· 降低计算开销:通过算法优化 减少计算成本,使其适应区块链计算约束,同时不影响理论上的准确性。
Bittensor 的 基于权益的共识机制 结合了 数学模型 和 博弈论工具,通过 更新公式、加权平均共识、迭代修正、密度演化 等方法,系统能 自动校准异常权重偏差,确保公平的最终奖励分配。
这一过程类似于 智能平衡系统 或 信誉机制,可以 持续自我校准,确保公平评分、激励优秀贡献者,并防止恶意勾结和投票操纵。
在此基础上,dtao 升级 采用更精细的 平滑控制 和 改进的权重信任策略,进一步提升了系统的 鲁棒性与公平性。因此,在对抗性环境下,诚实贡献者可以始终保持 竞争优势,而 整体计算资源消耗 也得到了优化和降低。
2.Yuma 共识:动态可编程的激励与共识
比特币构建了全球最大的点对点算力网络,任何人都可以通过贡献本地计算能力来维护全球账本。其激励规则在设计时已固定,导致生态系统以相对静态的方式发展。
相比之下,Yuma 共识(YC)是一种动态、可编程的激励框架。不同于比特币的静态激励机制,YC 将目标函数、质押奖励和权重调整机制直接集成到共识过程中。这意味着系统并非仅依赖固定规则运行,而是根据节点的实际贡献和行为动态调整,从而实现更公平和高效的奖励分配。
YC 共识算法在 Subtensor 区块链上持续运行,并针对每个子网独立运作。其主要工作流程包括以下组件:
· 子网验证者的权重向量:每个子网验证者维护一个权重向量,其中每个元素代表该验证者对所有子网矿工分配的评分权重。该权重基于验证者的历史表现,用于对矿工进行排名。例如,若某验证者的评分向量为
,则所得排名反映了该验证者对每个矿工贡献水平的评价。
· 质押金额的影响:链上的每个验证者和矿工都会质押一定数量的代币。YC 共识结合权重向量和质押金额来计算奖励分配。即,最终奖励不仅取决于评分权重,还取决于质押数量,从而形成「质押 → 权重 → 奖励」的闭环。
· 动态主观共识:每个参与者为其机器学习模型分配本地权重。这些本地权重通过共识策略进行调整,然后在区块链上聚合为全局指标。换言之,YC 能够即使在对抗性环境中也能实现大规模共识,并能动态适应节点行为的变化。
· 奖励计算与分配:子网验证者收集各自的排名结果,并将其作为 YC 算法的集体输入提交。尽管不同验证者的排名可能在不同时间到达,Subtensor 大约每 12 秒处理一次所有排名数据。基于这些数据,系统计算奖励(以 TAO 计)并将其存入子网矿工和验证者的钱包中。
这种综合机制使得 YC 能够在去中心化网络中持续且公平地分配奖励,动态适应贡献质量,维护整体网络的安全性和效率。
2.1 知识蒸馏与专家混合(MoE):协同学习与高效贡献评估
2.1.1 知识蒸馏(Digital Hivemind)
Bittensor 引入了知识蒸馏的概念,这类似于人类大脑中神经元的协作工作,节点通过共享知识、交换数据样本和模型参数来集体学习。
在此过程中,节点持续交换数据和模型参数,形成一个随着时间自我优化的网络,以实现更准确的预测。每个节点将其知识贡献到共享池中,最终提升整个网络的整体性能,使其更快,更适合实时学习应用,如机器人技术和自动驾驶。

关键的是,这种方法有效减轻了灾难性遗忘的风险——这是机器学习中的常见挑战。节点可以在保留和扩展其现有知识的同时,融合新的见解,从而增强网络的鲁棒性和适应性。
通过将知识分布在多个节点上,Bittensor TAO 网络对干扰和潜在的数据泄露变得更具弹性。这种鲁棒性对于处理高度安全和隐私敏感的数据(如金融和医疗信息)的应用尤为重要。

2.1.2 专家混合 (MoE)
Bittensor 采用分布式专家模型(MoE)来优化人工智能预测,通过多个专业化 AI 模型的协同合作,大幅提升了解决复杂问题的准确性和效率。例如,在生成带有西班牙语注释的 Python 代码时,多语言模型与代码专长模型能够协同发挥,产出远优于单一模型的高质量结果。

Bittensor 协议的核心由参数化函数构成,通常称为神经元,这些神经元以点对点方式分布,每个神经元记录零个或多个网络权重,并通过相互排名训练神经网络来评估邻近节点的价值,进而将排名得分累积到数字账本上。排名较高的节点不仅获得货币奖励,还获得额外权重,从而在节点贡献与奖励之间建立了直接联系,提升了网络的公平性和透明度。该机制构建了一个市场,使得其他情报系统能够通过互联网以点对点方式对信息进行定价,并激励各节点不断提升自身知识和专业能力。为确保奖励的公平分配,Bittensor 借用了合作博弈理论中的 Shapley 值,提供了一种根据节点贡献在各方间高效分配奖励的方法。在 YC 共识下,验证者对各专业模型进行评分和排名,并依据 Shapley 值原理公平分配奖励,从而进一步提高了网络的安全性、效率和持续改进能力。
3.dtao 升级
Bittensor 项目在其资源分配和经济模型设计中存在以下主要问题:
1.资源重叠与冗余:多个子网专注于类似任务,如文本到图像生成、文本提示和价格预测,导致资源分配的重复和浪费。
2.缺乏实际用例:某些子网(如价格预测或体育赛事结果预测)尚未在现实场景中证明其实用性,可能导致资源投入与实际需求不匹配。
3.「劣币驱逐良币」现象:高质量子网可能难以获得足够的资金和发展空间。由于仅有七天的保护期,未能获得根验证者足够支持的子网可能过早被淘汰。
4.验证者中心化及新子网激励不足:
· 根验证者可能无法完全代表所有 TAO 持有者,他们的评估结果可能不反映广泛的观点。在 Yuma 共识下,顶级验证者在最终评分中占主导地位,但他们的评估并不总是客观的。即使发现偏见,也可能无法立即纠正。
· 此外,验证者缺乏迁移至新子网的激励,因为从高发行量的旧子网转移到低发行量的新子网可能导致即时奖励损失。新子网能否最终匹配已建立子网的代币发行量的不确定性,进一步降低了他们的迁移意愿。
经济模型的主要问题:
Bittensor 的机制设计中一个主要问题是,尽管所有参与者都获得 TAO,但实际上没有人支付 TAO,这导致持续的抛售压力。目前,矿工回答的问题并非由真实用户提出,而是由子网所有者提供——要么模拟真实用户查询,要么基于历史用户需求。因此,即使矿工的回答有价值,这些价值也被子网所有者所捕获。无论矿工的回答是帮助子网所有者改进其模型算法,还是直接被子网所有者用于模型训练以提升其产品,矿工和验证者的工作所产生的价值都被子网所有者占有。理论上,子网所有者应为此价值付费。
此外,子网所有者不仅无需承担任何成本,还享有子网发行量的 18%。这意味着 Bittensor 生态系统并非紧密相连——参与者基于开发和协作保持松散联系。子网上的项目可以随时退出而不会遭受任何损失(因为子网注册费会被退还)。目前,Bittensor 系统中回收代币的主要机制是子网矿工和验证者支付的注册费用;然而,这些费用很少,不足以支持有效的价值捕获。尽管质押已成为主要机制,但通过区块链交易费用和注册费用回收的 TAO 数量仍然有限。
质押分为两种形式:
1.验证者质押:参与者质押 TAO 以支持网络安全并获得奖励,占所有发行 TAO 的 75%。验证者目前每天可获得约 3,000 TAO,年化回报率超过 15%。然而,在第一次减半后,这一分配将降至每天 1,500 TAO,降低了质押的吸引力,削弱了其平衡代币供需的效果。
2.子网注册质押:新子网的增加显著影响 TAO 供应。这构成了一个挑战,因为 TAO 的总发行量是固定的;子网数量的增加将稀释所有子网的奖励,使现有子网难以维持运营,可能导致一些子网退出网络。
这些问题表明,Bittensor 的资源分配和经济模型设计需要进一步优化,以确保网络的可持续发展和公平激励。
3.1 什么是 dtao
dTAO 是 Bittensor 网络提出的一种创新激励机制,旨在解决去中心化网络中资源分配效率低下的问题。它摒弃了传统由验证者手动投票决定资源分配的方式,而是引入基于市场动态调整的机制,将 TAO 发行量在各子网之间的分配与子网代币的市场表现直接挂钩,通过嵌入式流动性池设计鼓励用户将 TAO 抵押换取子网代币,从而支持表现优异的子网。
同时,采用公平发行模式确保子网代币逐步分配,促使团队通过长期贡献获得代币份额,并平衡了验证者和用户的角色,验证者如同风险投资者般严格评估团队技术和市场潜力,而用户通过质押和市场交易进一步推动子网价值的形成。
3.1.1dTAO 的核心机制
3.1.1.1 将验证者和团队与生态强绑定: 想要获得收益须先投资 subnet token
dTAO 的设计基于市场与技术双重驱动,每个子网配置一个由 TAO 和子网代币构成的流动性池。当$TAO 持有者(验证者和子网拥有者)进行质押操作,相当于使用$TAO 购买相应的$dTAO,能够换出$dTAO 的数量,遵循如下公式计算:

与 Uniswap V2 不同的是,$dTAO 的 liquidity pool 并不允许直接添加流动性。除 Subnet Owner 创建 Subnet 时以外,所有新注入的流动性完全来自被分配到的$TAO,以及$dTAO 总增发量的 50%。换言之,各 Subnet 被分配到的新增发$TAO 并不直接分配给该 Subnet 的 Validator\Miner\Owner,而是全部被注入到 liquidity pool 中备兑;同时,新增发的$dTAO 的 50% 也被注入到 liquidity pool 中,剩余 50% 则按照 Subnet 自身约定的激励机制分配给 Validator\Miner\Owner。
这避免团队通过初始大量持币进行快速抛售,鼓励团队持续贡献和技术迭代;验证者需扮演类似风险投资人的角色,对子网的技术、市场潜力和实际表现进行严格评估;

Stake\Unstake 不会改变 K 的大小,而流动性注入会使得 K 增大为 K'
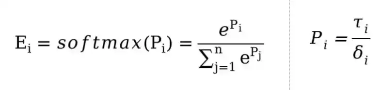
3.1.1.2 市场价格最高的 Subnet Token 将获得最多的$TAO emissions
在之前方案中,每个 Subnet 能够获得多少比例的新增发$TAO 是由 Root Network 的 Validator 决定的。这一方案暴露出一些潜在问题。例如,由于 Root Network 的权力集中在少数 Validator 手中,即使 Validator 共谋将新增发$TAO 分配给低价值的 Subnet,也不会受到任何惩罚。
Dynamic TAO 中止 Root Network 的特权,并将决定新增发$TAO 该如何分配的权力交给所有$TAO 持有者。具体做法是采用全新的 Yuma Consensus V2,将各 Subnet Token 的价格进行 softmax 操作后得到对应的释放比例,即:

Softmax 是一个常用的归一化函数,能够将一组向量中的每个元素转换为非负值同时保留各元素间相对大小关系,并确保转换后所有元素之和为 1。
其中,P 是$dTAO 相对$TAO 的价格,由 liquidity pool 中$TAO 的数量除以$dTAO 的数量计算得出。
根据公式,当一个 Subnet Token 相对$TAO 价格越高时,能够获得新增发$TAO 的释放比例也就越高。
3.1.1.3 将设定激励机制的权力下放给各 Subnet
之前 Subnet 所获得的$TAO 激励按照固定比例 41%-41%-18% 分配给 Validator\Miner\Owner。
Dynamic TAO 赋予各 Subnet 发行自身「Subnet Token」的权力,并规定,除增发量的 50% 必须被注入到 liquidity pool 外,剩余 50% 具体按照何种机制分配给 Validator\Miner\Owner,则有 Subnet 参与者自行决定。
这一机制同时确保只有不断提升产品和吸引用户的子网才能获得更多激励,防止通过庞氏拉动短期收益的模式出现。
3.1.2 举例分析
Dynamic TAO 网络升级后,现在所有 Subnet 都已经铸造出相应的$dTAO,$dTAO 的创世数量等于该 Subnet Owner 曾经在创建 Subnet 时锁定的$TAO 的数量。其中,50% 的$dTAO 被注入到该 Subnet 的 liquidity pool 中,剩余 50% 则被分配给该 Subnet Owner。
假设 Subnet #1 的 Owner 曾锁定了 1000 颗$TAO,那么,$dTAO 的创世数量也为 1000 颗。其中,500 颗$dTAO 与 1000 颗$TAO 作为初始流动性被添加到 liquidity pool 中,剩余 500 颗$dTAO 则分配给 Owner。
接下来,当有 Validator 来到 Subnet #1 注册并质押了 1000 颗$TAO,那么该 Validator 将会获得 250 颗$dTAO,此时 liquidity pool 中剩余 2000 颗$TAO 和 250 颗$dTAO。
假设 Subnet #1 每天能够获得 720 颗$TAO 的区块奖励,那么,liquidity pool 每天会自动被注入 720 颗$TAO。至于每天注入$dTAO 的数量,则取决于该 Subnet 自行设置的增发速度。
3.2 dtao 带来的影响
dTAO 的引入从根本上重塑了 TAO 的分配与质押机制。首先,新发行的 TAO 不再由少数 Validator 独断分配,而是由所有 TAO 持有者通过市场行为间接共同决定,这使得质押 TAO 更像是「买入」某个 Subnet 的 Token,而非简单的旱涝保收。在这种机制下,短期内质押和解除质押对 dTAO 价格的影响远超 Subnet 实际获得 TAO 数量的效应,进而使得质押收益充满不确定性。
好处在于,顶级 Validator 对区块奖励分配的绝对控制力消失,大大提高了潜在攻击者通过质押量攻击网络的成本;同时,后发优质 Subnet 有更大机会脱颖而出,早期 Validator 支持高质量 Subnet 的回报潜力极高,甚至可能实现本金的数倍回报。此外,Subnet 之间竞争的加剧将推动质押者转变为更加理性的投资者,通过严谨尽调选择前景最优的 Subnet。
总的来说,dTAO 机制的实施将促使整个生态系统向更高效、竞争激烈且市场化的方向发展。

3.3 dTAO 升级后 Bittensor 生态系统将如何演变?
要分析 dTAO 升级的影响,我们需要关注两个关键问题:
1.子网需求如何转化为对子网代币的需求?
2.子网代币的引入是否能创造「TAO 之夏」,加速 TAO 生态系统内的创新?
3.3.1 子网需求如何转化为对子网代币的需求?
最初,所有子网代币的价格相同,并且每个子网的流动性池中仅包含少量的 TAO 和 dTAO 代币。因此,任何交易活动都可能引发显著的价格波动。
为了参与子网并获得奖励,用户必须首先购买 dTAO 子网代币并将其质押给验证者,这一需求推动了该子网内 dTAO 价格的上涨。随着 dTAO 价格上升,流动性池内的 dTAO 总价值增加,系统会自动向该子网分配更多的 TAO 奖励,使矿工和质押者能够获得更高的回报。
这形成了一个正反馈循环:用户购买 dTAO,推高价格--价格上涨导致子网获得更多 TAO 发行量--更多的奖励吸引额外用户进入--进一步推高 dTAO 价格
反之,如果用户开始大量抛售 dTAO,其价格下降,导致该子网获得的 TAO 发行量减少,从而降低用户的参与度。总体而言,子网代币价格的波动主要受市场供需、流动性池规模以及系统自动激励机制的影响。
这个机制与 AI 代理 Launchpad 模型 有相似之处,用户首先需要购买平台代币来投资 AI 代理代币。在 AI 代理 Launchpad 生态中,一旦某个 AI 代理代币价格快速上涨并产生财富效应,大量用户就会涌入,进一步推高平台代币的需求。
然而,dTAO 机制与 AI 代理 Launchpad 之间存在一些关键区别:
· 在 AI 代理 Launchpad 生态中,用户通常仅在 AI 代理代币的市值较低(即在项目内部市场中)时使用平台代币购买这些 AI 代理代币。
· 一旦 AI 代理代币达到一定估值,用户可以将其卖出换取 ETH/SOL 来实现利润,新用户也可以直接使用 ETH/SOL 购买 AI 代理代币。
相比之下,在 dTAO 体系中:
· 当 dTAO 价格上涨,用户希望套现或迁移到另一个具有更高潜力的子网时,他们只能用 dTAO 兑换 TAO。
· 这一过程可能导致流动性池内 dTAO 价格的大幅波动。
目前,用户可以在 Backprop Finance 上交易 dTAO 代币,从而提供子网代币的二级市场流动性。

3.3.2 dTAO 生态系统的独特发行机制
dTAO 生态的另一个关键方面是其独特的代币发行机制。如下图所示,在 dTAO 升级后,发行量高度集中在前几个子网项目上。前 五个 子网项目目前可获得 40% 的总发行量。
目前每天分发 7,200 TAO,按照 2025 年 2 月 18 日的 TAO 价格计算,这意味着前五个子网项目每天单独获取价值约 100 万美元的 TAO。
如果 dTAO 生态的发展路径类似于 Virtual 生态,即某些项目获得显著市场关注,那么高市值子网将占据绝大部分新增的 TAO 发行量。
对于新项目而言,要想在竞争中胜出,必须展现出强劲的潜力,以吸引质押者、矿工和验证者参与。这通常意味着:
· 参与者需要 从其他子网迁移,将其 TAO 兑换成新子网的 dTAO。
· 这可能涉及 抛售现有流动性池中的子网代币,从而提高新子网的市值。
这种竞争模式可能会促使子网代币市场更加活跃,并进一步推动整个 TAO 生态系统的创新与发展。

3.4 dTAO 是否解决了 Bittensor 子网模型中的问题?
3.4.1 机制问题依然存在
dTAO 升级将 TAO 发行量与子网代币的市场表现挂钩,将资源分配决策从少数根验证者转变为 市场驱动 方式,旨在激励更广泛的用户参与和互动。虽然这一机制 部分缓解了资源重叠带来的低效,确保只有 代币价格表现强劲的高性能子网 才能获得更多 TAO 奖励,但它并未从根本上解决以下关键问题:
· 资源重叠与冗余:如果多个子网专注于相似任务(如 文本生成、图像生成或价格预测),即使采用市场驱动的调整方式,资源重复和低效利用 仍然没有得到根本解决。
· 虽然所有参与者都可以赚取 TAO,但没有外部用户为矿工和验证者的贡献付费。这导致 TAO 持续面临抛售压力,因为奖励不断发放,却缺乏 可持续的需求机制 来支撑 TAO 价格。
· 部分子网可能存在伪造模型和评估标准不完善的问题: Bittensor 正在演变为 AI 技术堆栈中的「外包层」,其中 代币激励迅速吸引资源并推动特定 AI 任务的分配。例如,Kaito AI 将搜索引擎的开发外包给一个子网,利用集体智能来降低成本。然而,这种 激励驱动模型虽然在短期内可以吸引开发者,但长期成功仍取决于真实需求和质量保障。在测试 Cortex.t 子网时,发现其回答直接来自 OpenAI API,而非 Bittensor 矿工生成。这表明部分子网只是「包装应用」,并未真正利用 Bittensor 的去中心化 AI 计算能力。部分子网验证者依赖 OpenAI 结果进行对比,可能导致中心化风险,同时 部分价格预测类子网的准确性较低,难以实际应用
改进方向:提升实用性和透明度:
· 矿工应提交中间数据或哈希证明 以验证其模型训练和推理过程,确保 输出确实来自 Bittensor 网络,而非外部 API。
· 应建立标准化测试数据集,用于 不同类型的子网(如预测模型、生成式 AI 模型)进行基准测试。
· 定期发布基准测试排名,促进子网之间的健康竞争,提高模型质量。
3.4.2 dTAO 仍面临 adoption、应用场景缺乏与质押率下降问题
当前,dTAO 主要局限于 Bittensor 网络内部,尚未在更广泛的加密市场中获得足够的采用度。虽然 dTAO 引入了 EVM 兼容性,但它并未像 Virtual 生态的 AI Agent 代币那样在社交媒体上形成热度。与此同时,几乎没有项目将 dTAO 纳入其核心代币经济模型,导致 dTAO 仍然缺乏真实的应用需求。目前,购买子网代币更像是一种一次性的投资行为,当用户选择套现时,可能会引发大幅度的价格波动。这种问题在 AI 基础设施外包子网中尤为明显,例如 Kaito 的 dTAO 代币几乎与其核心业务无关联,使得其代币缺乏市场价值支撑。
尽管如此,dTAO 仍然相较于 AI Agent Launchpad 具备一定优势。按照 dTAO 经济模型,50% 的新发行 dTAO 必须注入流动性池,而剩余 50% 由子网参与者(包括验证者、矿工和子网所有者)决定分配。这一机制确保只有持续改进产品、吸引用户的子网,才能获得更多奖励,从而避免低质量 AI 代理的泛滥,并推动 TAO 生态的技术创新。然而,由于 dTAO 生态仍处于早期阶段,受众范围尚未扩大,同时缺乏大规模的应用场景,使得其市场认可度依然较低。
当前,Bittensor 生态系统的扩张速度未能匹配代币经济增长的需求。根据最新数据,TAO 的质押率已从 90% 高峰下降至 71%。这表明,部分持币者对网络的长期激励机制缺乏信心,可能转向其他更具收益吸引力的 DeFi 或 AI 生态项目。
3.5 关注与 Bittensor 生态紧密结合且具备实际用例的子网项目
Bittensor 生态系统的健康发展,取决于是否能够吸引并支持高质量的子网。评估一个子网的长期潜力,需要重点关注其应用场景、激励机制、团队背景以及代币的实际用途。
首先,子网必须具备清晰且实际的应用场景。一个成功的项目不仅需要解决现实世界的问题,还应获得真实用户的反馈。技术架构需要稳健且富有创新性,能够支持分布式 AI 模型训练和推理。此外,子网应利用链上数据,并采用透明的评估机制,以展示其对 Bittensor 生态的贡献。
其次,合理的激励机制是维持子网长期运作的关键。激励结构应该公平地分配给矿工、验证者和子网所有者,避免由于缺乏持续的应用需求而导致的市场抛售压力。子网需要能够通过业务模式自我造血,而非单纯依赖 TAO 发行进行激励。
此外,一个成功的子网项目往往具备强大的团队背景、生态整合能力以及社区支持。优先关注 Bittensor 原生子网,而非单纯的 AI 外包子网,能够确保整个生态体系的长期稳定性。对于外包型项目,关键在于其子网代币是否真正融入到核心代币经济模型,而不仅仅是一个激励工具。
最后,子网代币的实际用途是决定其长期价值的核心。目前,几乎没有项目真正将子网代币纳入其运营体系,dTAO 仍处于早期阶段。如果子网代币能够用于支付、访问 AI 服务、参与治理或提供额外激励,才能建立真正的市场需求,确保长期价值和生态健康。否则,子网代币仍然只是纯粹的投机资产,容易引发市场波动,最终难以吸引长期用户和开发者。

4. 经济模型
所有 TAO 代币奖励均为新铸造,与比特币类似,Bittensor 的 TAO 采用与比特币相同的代币经济学和发行曲线,总供应上限为 2100 万,每 4 年减半。
Bittensor 采用公平启动方式,无预挖或 ICO,每个流通的代币都必须通过积极参与网络来赚取。目前网络每天生成 7,200 个 TAO(每个区块生成 1 个 TAO,约每 12 秒产生一个),遵循程序化发行计划:当总供应量的一半被分发后,发行速率便减半,此过程大约每 4 年发生一次,并在每次半数节点持续进行,直至 2100 万 TAO 全部流通。

尽管 TAO 的发行曲线与比特币类似,但由于引入了回收机制,根据 taostats 的代币回收数据,Bittensor 网络(于 2021 年 1 月 3 日上线)的计划减半日期预计将推迟到 2025 年 12 月。

关于 HTX Research:
HTX Research 是 HTX Group 旗下的专属研究部门,负责对加密货币、区块链技术及新兴市场趋势等广泛领域进行深入分析,撰写全面报告,并提供专业评估。HTX Research 致力于提供基于数据的洞察和战略前瞻,在塑造行业观点和支持数字资产领域的明智决策方面发挥着关键作用。凭借严谨的研究方法和前沿的数据分析,HTX Research 始终站在创新前沿,引领行业思想发展,并促进对不断变化的市场动态的深入理解。
本文来自投稿,不代表Blockbeats观点
:
- 免责声明
- 世链财经作为开放的信息发布平台,所有资讯仅代表作者个人观点,与世链财经无关。如文章、图片、音频或视频出现侵权、违规及其他不当言论,请提供相关材料,发送到:2785592653@qq.com。
- 风险提示:本站所提供的资讯不代表任何投资暗示。投资有风险,入市须谨慎。
- 世链粉丝群:提供最新热点新闻,空投糖果、红包等福利,微信:juu3644。

HTX Ventures



